糖心少女VLOG
Production Platform
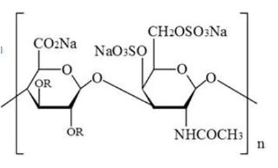
多磺酸粘多糖粉末
多磺酸粘多糖,商品名: ,英文名: Mucopolysaccharide Polysulfate [1],多磺酸粘多糖是用若干磺酸化的 D-與 N-乙酰-D-多乳糖胺組成的二糖單元連接而成。多磺酸粘多糖的分子量在5000~15000道爾頓之間。本品為乳劑型基質的白色軟膏,有草酚的氣味。


多磺酸粘多糖(MPS)的制備工藝主要包括以下幾種方法,結合不同原料和技術特點,
具體如下:
1. 基于硫酸軟骨素A(CSA)的降解磺酸化法
原料:硫酸軟骨素A(CSA)。
步驟:
1. 降解:用30%雙氧水溶解CSA,在100℃油浴中降解6小時,隨后加入NaOH終止反應并分解殘留H?O?。透析后冷凍干燥,得到降解多糖。
2. 磺酸化:將降解多糖溶解于甲酰胺,加入氯磺酸與甲酰胺的混酸溶液,50℃加熱攪拌3小時。中和后透析、冷凍干燥,獲得多磺酸粘多糖(MPS)。
3. 結構鑒定:通過高效液相色譜(HPLC)測定分子量(5-15 kDa),紅外光譜和核磁共振(NMR)分析官能團。
特點:該方法簡化了傳統工藝,適合工業化生產,分子量可控(優選8.39 kDa),產物具有美白、抗炎和抗衰活性。
2. 傳統提取-純化-修飾法**
原料:海藻、真菌或動物軟骨等生物組織。
-步驟:
1. 提?。?/span>
- 酸堿水解法:通過調節酸堿條件斷裂多糖鏈。
- 酶解法:使用酶降解雜質,保留目標多糖。
2. 純化:
沉淀法:控制pH和溫度使多糖沉淀。
膜過濾法:按分子量截留目標成分。
離子交換法:利用樹脂吸附后洗脫。
3. 修飾:通過磺化、酯化或?;然瘜W修飾增強功能(如溶解性或穩定性)。
- 特點:傳統方法步驟多,但適用于不同來源原料,需結合后續修飾提升性能。
3. 晶型A的制備工藝
步驟:
1. 溶解:將MPS與有機溶劑(如乙醇-水混合液)按比例混合,高溫溶解。
2. 析晶:通過溫差法(50-60℃溶解后降溫至0-25℃)析出晶型A。
特點:晶型A具有特定X射線衍射峰(如19.1°、31.9°等),溶出性和化學穩定性優異,適合藥物制劑開發。
4. 質量控制與檢測方法**
HPLC分離檢測:采用陰離子交換柱和梯度洗脫法,分離MPS與雜質(如硫酸皮膚素),檢測波長222 nm,確保產物純度。
工藝對比與選擇
工業化生:優先選擇硫酸軟骨素A的降解磺酸化法,因其步驟簡化、分子量可控。
原料多樣性:傳統提取法適合不同生物來源,但需結合純化與修飾。
藥物開發:晶型A的制備可提升制劑性能,但需額外結晶步驟。